© Gerd Ziemke • Moorlichter 2025
Moorlichter
Die Sonne geht unter, die Sonne geht auf und das Leben geht weiter…
Laborwerte vom Blut
Werte von Helios Universitätsklinikum Wuppetal
Moorlichter
- Film und Musik Entspannung pur von Wolfgang Roloff-Ronny.
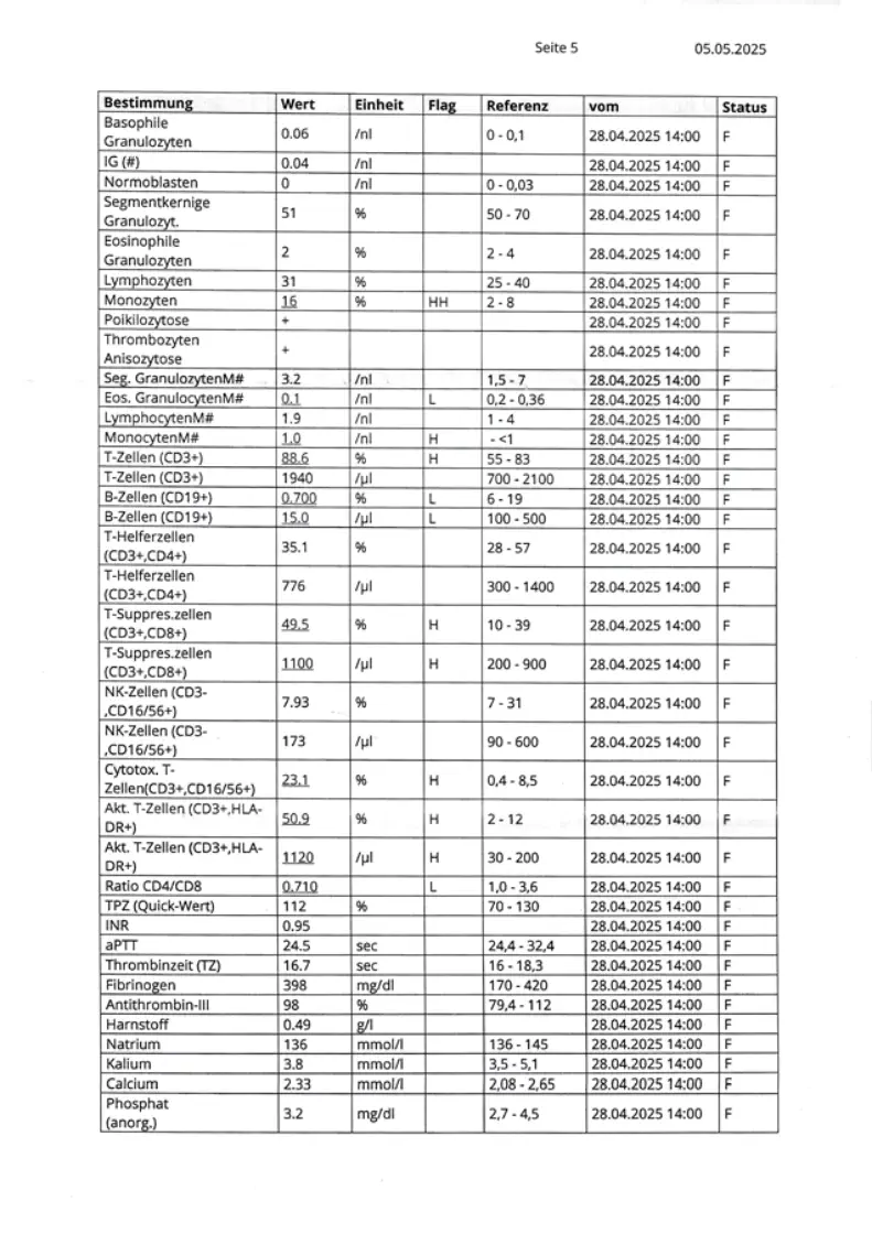
Bemerkung zu Flag:
L= Low heißt zu niedrig
H= High heißt zu Hoch
Kumulativbericht - Laborwerte vom Blut
Werte von der Universitätsklinik Essen
30.10.2024
05.05.2025
21.05.2025
28.05.2025
07.04.2025 - 28.03.2025 - 19.03.2025
Laborwert vom 30.10.2024
Laborwert vom 19.03.2025
Laborwert vom 05.05.2025
Laborwert vom 21.05.2025
Laborwert vom 28.05.2025
Laborwert vom 24.07.2025
Impressum: Gerd Ziemke • Platz der Republik 1 • 42107 Wuppertal • Telefon 0202 399 21 21 • EMail: ziemke@ronny-web.de
24.07.2025
Laborwert vom 30.10.2024
Laborwert vom 19.03.2025
Laborwert vom 05.05.2025
Laborwert vom 21.05.2025
Laborwert vom 28.05.2025
Laborwert vom 24.07.2025
© Moorlichter 2025
Aktuelles
Laborwerte vom Blut
Moorlichter - Film und Musik Entspannung pur von Wolfgang Roloff-Ronny
Impressum: Gerd Ziemke • Platz der Republik 1 • 42107 Wuppertal • Telefon 0202 399 21 21 • EMail: ziemke@ronny-web.de
Start
Diagnose
Aktuelles
Blutbilder
MRT-CT-Bilder
Links
Arztbericht-30.10.2024
Arztberichte-03.01.2025
Arztbericht-05.05.2025
arztbericht-28.02.2025
arztbericht-21.05.2025
aktuelles-a
arztbericht-30.07.2025